Berachain 白皮书解读:双代币 POL 机制优势详解

原标题:《I read the Honeypaper so you don’t have to》

作者: knower

编译:深潮 TechFlow

 

快速理解 Berachain 白皮书:双代币与 PoL 机制到底好在哪? image 0

Honeypaper 已经正式发布了,为了方便大家理解,我对其中的内容做了简要总结。

快速理解 Berachain 白皮书:双代币与 PoL 机制到底好在哪? image 1

长期以来,我们看到许多 L1 和 L2 区块链尝试以不同方式解决“区块链三难问题”(即去中心化、安全性和可扩展性之间的权衡),并将重点放在技术性能上,尤其是降低交易成本和提高吞吐量——这两点直接决定了区块链的用户体验。

虽然这些问题确实对区块链的可扩展性至关重要,但在协议层面,我们此前并未见到有创新的经济模型被引入——直到今天。

我们很高兴发布这份 Honeypaper,并向大家阐释这个 L1 的独特之处:它的架构如何为区块链经济学开辟新方向,背后的工作原理是什么,以及这些元素如何协同作用。此外,可以放心,这条链的确有一只熊(Berachain 的标志)。

Berachain 的设计目标是协调链上主要利益相关者之间的激励机制,包括去中心化应用 (dApps)、用户和验证者 (Validators)。

更重要的是,这条链的设计允许在其上开发和使用的应用程序通过机制性手段为链本身创造价值,同时链本身也能反向为应用程序赋能。

Berachain 的设计灵感来源于对现有 L1 和 L2 的观察——许多链在经济安全性上投入过多,却未能有效利用这些资源。与其延续这种行业惯例,让验证者轻松获利,Berachain 创新性地设计了一个双代币系统:BGT 和 BERA。这一设计确保了奖励能够真正用于链上的实际需求,而不仅仅是简单的分配。

这一切的实现都基于 Berachain 独特的共识机制:流动性证明 (Proof-of-Liquidity, PoL)。如果你曾关注过 Berachain 的博客,可能已经对 PoL 有所了解。

快速理解 Berachain 白皮书:双代币与 PoL 机制到底好在哪? image 2

(原图来自  knower ,由深潮 TechFlow编译)

实际上,这就是 PoL 的运作方式,不过用更简单的方式解释会更容易理解。

在 PoL 模型下,用户和 dApps 的优先级高于验证者,但三者需要协同合作,共同打造一个更加安全且经济协作的区块链网络。

正如之前提到的,经济安全性过度支出的问题常常让新链与验证者之间形成一种不健康的关系。这种关系导致主要利益相关者之间缺乏共享的激励机制。如果用户和 dApps(作为 L1 区块链的核心组成部分)无法公平地获得其经济产出的回报,那么单纯为了安全性向验证者支付报酬是得不偿失的。

Berachain 的 PoL 与其他共识机制的最大区别在于奖励的分配方式。在 PoL 中,大部分奖励会流向应用程序的奖励金库,而不是直接进入验证者的账户。这并不是否认验证者的重要性,而是通过调整奖励分配机制,推动我们所描述的经济创新。

在 Berachain 上,应用程序可以通过奖励金库激励各种用户行为。例如,它们可以引导更多流动性进入特定资金池,或者利用链上用户的独特行为模式来优化经济活动。

此外,Berachain 采用了委托权益证明 (dPoS) 模型,该模型结合了 BERA 的质押和 BGT 的委托机制。这种设计确保验证者不仅仅是从中获利,还需要与其他主要利益相关者积极互动,共同参与链上治理和生态发展。

在 PoL 模型下,验证者与 dApps 和用户之间的互动对整个生态系统的健康发展至关重要。竞争和市场动态会自然促使用户和 dApps 与最活跃的验证者保持一致,从而推动整个网络的高效运作。

然而,大多数基于权益证明 (Proof-of-Stake, PoS) 的区块链通常只有一个网络代币。这种设计迫使用户必须用同一个代币来支付交易费用、质押资产以及参与治理。这种单一代币模式可能无法满足不同类型用户的需求,也难以鼓励长期代币持有人的健康行为。

一个更理想的设计是将这些不同的功能分配到独立的代币中,以满足多样化的用户需求,并推动长期代币持有者做出更有利于生态的行为选择。

在 Berachain 中,这种多代币系统由 BERA 和 BGT 实现。BERA 作为 gas 和质押代币,主要用于支付网络交易费用,同时用户还可以通过质押 BERA 来支付验证者的激活费用。而 BGT 则是治理和经济激励代币,它具有不可转让的特性,用户只能通过在奖励金库中质押符合 PoL 标准的资产来获得。

这种双代币设计不仅让 Berachain 的经济模型更加灵活,还能够更好地满足用户和生态系统的多样化需求,同时促进健康的长期经济行为。

简单来说,BERA 和 BGT 的分离设计确保了所有利益相关者都能在系统中拥有直接利益,而在像 Berachain 这样的经济体系中,那些更积极参与的人往往能够获得更大的回报。

BGT 的功能包括对治理提案进行投票,并且可以按照 1:1 的比例兑换为 BERA(但根据设计,BERA 无法兑换为 BGT)。此外,用户可以通过将 BGT 委托给验证者,参与该验证者的经济活动并获得相应的激励。

验证者的 BGT 收益率与委托给他们的 BGT 数量直接相关,同时还取决于他们如何利用这些 BGT 委托。这种设计创造了一种有趣的动态机制,通过新发行的激励方式,加速了用户对应用层的采用。

当 BGT 委托的激励增长率低于 BGT 新发行率时,用户可以选择将 BGT 燃烧 (Burn) 并兑换为 BERA。更多的兑换行为会减少流通中的 BGT 数量,从而形成一个供需相互作用的循环,最终帮助系统实现更高的稳定性。

如果你读到这里,可能会开始好奇 Berachain 的数学模型。所有白皮书都会涉及数学公式,而 honeypaper 也不例外。尽管这些公式看起来复杂,但它们是 Berachain 运作和 PoL 模型中各个动态部分的重要基础。

PoL 模型定义了 BERA 和 BGT 的发行计划以及区块生成机制。验证者的奖励是基于他们在 PoL 中的参与情况,具体表现为一个依赖验证者加成 (Boost) 的可变比率。区块生成机制则是从活跃的验证者集合中选择 N 个验证者,这些验证者根据其质押的 BERA 数量被选中,而具体的选择概率与其质押的 BERA 数量成正比。

如果你对数学公式感兴趣并想深入了解,下面就是相关公式的样子:

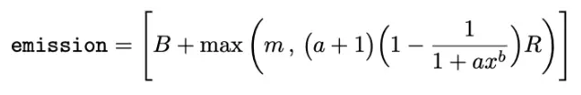
以下是用于计算每个区块中生成多少 BGT 的公式,该公式基于验证者的加成值 x 而定。加成值 x 是一个介于 [0,1] 的比例,表示分配给某个验证者的 BGT 占所有验证者总分配 BGT 的百分比。

快速理解 Berachain 白皮书:双代币与 PoL 机制到底好在哪? image 3

  • B (基础奖励率):验证者在成功生成一个区块时获得的固定 BGT 奖励。

  • R (奖励率):在应用加成系数之前,验证者需要分配给奖励金库的 BGT 数量。

  • a (加成系数):用于调整加成值对奖励金库分配的影响。加成系数越高,加成值对奖励分配的影响越大。

  • b (凸性参数):用于调整加成值对奖励分配的敏感度。凸性参数越高,低加成值的验证者受到的惩罚越严重。

  • m (最低奖励):设置奖励金库分配的最低限额。较高的最低奖励可以保证低加成值验证者仍能获得一定的奖励。

好了,技术细节就先讲到这里吧,让我们来看看 Berachain 的双代币系统和 PoL 模型究竟能带来哪些实际价值。

在 Honeypaper 中,有一部分专门探讨了 PoL 在现实世界中的潜在应用场景,比如现实世界资产 (RWAs)、自动化做市商 (AMMs) 和第二层解决方案 (L2s)。

PoL 在 DeFi 领域的意义尤为突出,特别是在它能够高效整合用户和 dApps 利益的方式上。不过,PoL 的潜力远不止于此,其他领域同样可以从中受益。

现实世界资产 (RWAs) 一直被视为区块链技术的“终极目标”之一。如果我们相信未来会有传统金融人士用我们的代币进行交易,并在链上与我们互动,那么一系列更贴近传统金融的产品将逐步成型。

举个例子,如果你想将像房地产或国债这样明确的线下资产代币化为 ERC20 代币,资产发行方可以利用奖励金库 (Reward Vault) 来解决寻找资产发起人和奖励他们的问题。这些奖励金库,以及将资产存入其中的用户,还可以从二级市场流动性和验证者激励中获益。

假设 Berachain 上有一个内置的去中心化交易所 (DEX),那么用户就可以无需许可地创建新的流动性池。这些池子不仅能获得链上的原生奖励,还能享受 BGT 激励。

听起来有点复杂?其实简单来说,就是 dApps 可以通过治理申请,在这些流动性池的基础上建立奖励金库,而这一切都由 PoL 提供支持。这种机制能够轻松解决许多 dApps 在新链上启动时面临的“冷启动问题”,同时还能促进验证者之间的高效协作。

根据 dApp 所处的不同发展阶段,它可以选择提供高于或低于市场价值的 BGT 奖励或原生奖励,以吸引链上不同类型的用户。相比传统 PoS 流动性池,基于 PoL 的流动性池(带有奖励金库)提供了更细化的决策能力——这种灵活性在以往是难以实现的。

Honeypaper 中还提到了其他有趣的内容,比如激励市场和奖励金库如何被列入白名单。如果你感兴趣,可以深入研究,不过以上内容应该已经足够了。

Beras 不会读书,也不会写作,所以如果你能坚持读到这里,那简直是个奇迹。如果你想自己了解更多,可以参考  honeypaper。