Gate.io - 实盘跟单交易员收益率计算方法详解

收益率是评估投资组合表现的重要指标,尤其在跟单交易项目中,通过引入净值计算方法,可以有效避免因资金存取导致的本金波动对收益率的影响,确保收益率的准确性和可靠性,新版本的收益率计算方式是以带单员开启带单时的初始净值设为1,并每小时更新一次净值,公式中NAV代表累计净值,R则是区间内的收益率,以近7日收益率为例,实际计算是按照每小时进行更新,虽然案例中为了便于理解采用了日维度展示,这样的计算方式能够更清晰地反映投资的真实收益情况,为投资者提供了更为科学的决策依据。


收益率反映了投资组合的效率和收益。跟单项目中,通过引入净值进行计算收益率,
尽可能的避免了交易员的本金变动(例如存入和提取资金),对收益率的影响。

新版本收益率计算如下:

1.带单员开启带单后,则初始净值为1进行计算,净值每小时更新计算1次。

-其中NAV为累计净值,R为区间内收益率

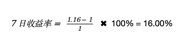
以近7日收益率计算为例


注: 实际计算中会按照每小时进行计算,案例中为了方便理解采用日维度进行展示