Gate现货网格交易是一种自动化交易策略,适合震荡行情,通过设置价格区间和网格数量,机器人将资金分为若干等分,以低吸高抛的方式获取波动收益,特别适用于看涨的市场环境,适合交易新手和有经验的用户,提供AI智能网格和手动配置两种选择,用户可根据自身经验和市场情况灵活选择,网格间距和利润计算公式帮助用户优化交易策略,建议选择流动性高的主流币种进行交易,使用网格交易的用户可设置止盈止损,提高交易灵活性,网格交易不仅限于现货市场,还可扩展到期货合约交易,整体而言,现货网格交易是一种高效、灵活的投资方式,适合不同层次的投资者。
Q:什么是Gate现货网格交易?
A: 现货网格机器人是一种适合震荡行情,高抛低吸的自动化交易策略,短中长期均适用。您只需要设置价格区间、网格数量等参数,机器人即可运行。运行后机器人将资金有计划的分为若干等分,下跌时分档买入,上涨时分档卖出,随着市场波动,不断低吸高抛套取波动收益。
Q:谁适合使用现货网格交易?
A:现货网格是一种看涨的策略,如果您认为某种加密货币会呈现上涨行情并出现一定程度的波动,即可选择使用现货网格进行交易。
Gate现货网格交易分为AI智能网格交易和手动配置网格交易。 如果您是交易新手,可以使用 Gate AI 智能网格的推荐参数进行设置; 如果您有一定的交易经验,可以参考我们推荐的参数或手动设置参数。
Q:什么样的行情适合使用现货网格交易?
A:现货网格交易策略适用于波动上涨行情。
Q:如何计算现货网格策略中的网格间距和网格利润?
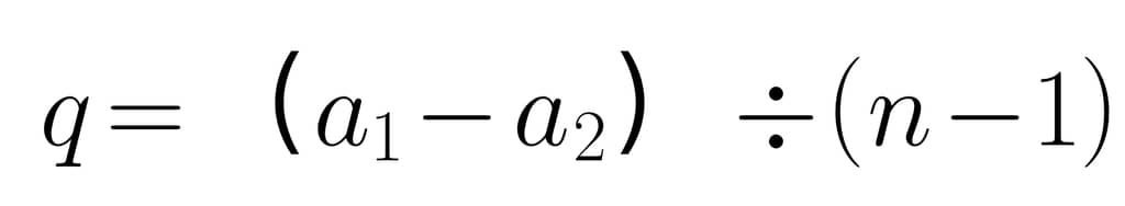
A:网格间距计算公式
假设网格间距为q,网格价格上限为a1,网格价格下限为a2,网格数量为n,
则等差网格间距q计算公式为:
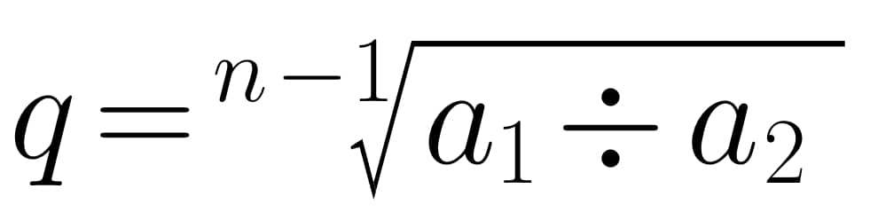
A:等比网格实际浮动比例q计算公式为:
网格单格利润公式
网格单格利润 = 单个网格价差 ✖️ 单个网格买入数量 ✖️ 已完成卖单数量
网格间距
以等差网格为例:
等差网格间距q计算公式为:
例如,在进行GT/USDT的网格交易时,设置的网格下限是30 USDT,网格上限是150 USDT,网格数量为3,可以计算出网格间距为 = (150-30) / 3 =40。 挂单价格为 30USDT/ 70USDT/ 110USDT/ 150USDT,一共4个档位。
特别注意的是,网格间距影响到策略的交易次数。
网格间距值越小代表网格密度越高,成交次数就会越频繁,但是所带来的单网格利润会降低;反之,网格间距值越大代表网格密度越低,成交次数就会越低,但是所带来的单网格利润会有所增加。
网格利润
网格利润=单个网格价差 ✖️ 单个网格买入数量 ✖️ 已完成卖单数量;
公式中单网格差价不是一个恒定值,影响单网格差价的重要参数有“价格区间”、“网格数量”以及“入场价”。
单网格差价=卖出价格(当前订单)-买入价格(上笔订单); 本质上每个网格第一次卖出的时候都是匹配的入场价,而网格第二次卖出的时候就会匹配上一个单子的买入价格,以此类推,所以在网格第一次卖出和第二次卖出所产生的网格差价差距可能会大到几倍甚至几十倍。
例如,在GT_USDT交易对中,入场价为30 USDT,网格间距为10 USDT,单网格买入数量为1个. 假设币价一直上涨到280USDT且中间无波动,单网格卖单为 30USDT、40USDT、50USDT …280USDT。
当GT_USDT价格第一次上涨到 250 USDT, 网格第一次卖出并且匹配的入场价30 USDT, 那么该网格的差价就为 250 USDT - 30 USDT = 220 USDT。
紧接着GT_USDT价格回弹到240 USDT,再次上涨到250 USDT,网格第二次卖出是匹配的上一张单子的价格240 USDT,而不再是匹配入场价的30 USDT,计算出该网格的差价为 250 USDT - 240 USDT = 10 USDT。
再接着,GT_USDT的价格从250 USDT继续上涨到 280 USDT, 网格第一次触达280 USDT的卖单价会自动匹配入场价 30USDT, 此时该网格的差价为 280 USDT - 30 USDT = 250 USDT。
在以上三个小例子中,三个网格的网格差价分别为:220 USDT - 10 USDT - 250 USDT,每个网格差价都不相同,甚至出现了最高与最低的25倍的差价现象,这完全属于正常现象。
Q:哪些交易对适合现货网格交易?
A:如果您是交易新人,建议您优选共识好、流动性高的主流价值币, 可以参考CMC排名前100的数字资产在Gate平台的交易情况。如果您对现货网格交易有较深入的理解,可以尝试其他高波动的交易对来赚取高额利润。
Q:我可以在现货网格交易中设置止盈止损吗?
A:是的,可以。 在设置中设置网格策略时,可以设置目标资产需要达到的价格。 智能程序将通过出售币自动止盈止损。
Q:网格越密集,我就越容易获利?
A:不,网格收入 = 单个网格点差。 单格数 已完成卖单数。网格的数量与交易的频率有关。如果设置了太多的网格,你可能有太多正在进行的交易;如果网格太少,则可能在很长一段时间内无法完成交易。 实际上,越能捕捉市场上的微小波动,越能完成更多交易,反之亦然。
Q:新手可以使用现货网格交易吗? 我可以选择AI智能网格还是手动配置网格?
A:是的,现货网格交易是最经典的交易策略之一,原理简单易懂,新手容易理解。 如果您是第一次尝试Gate现货网格交易,我们建议您选择AI智能网格,它会根据短期、中期和长期行情,自动计算出最近7天、30天和180天最高收益的网格参数。 您只需要填写您的投资百分比即可。
Q:使用现货网格交易多少天合适?
A:现货网格交易的收益受市场影响。 从理论上讲,时间段越短,市场波动的可能性就越小,反之亦然。 因此,我们建议您在考虑具体市场情况的情况下尝试 1 个月的现货网格交易。
Q:除了现货交易,我还可以使用网格进行哪些其他类型的交易?
A:在Gate,除了现货交易,您还通过网格交易策略参与期货合约交易。 同时,Gate的智能机器人策略中也有CTA信号追踪系列策略:MACD、MACD-RSI等。
本产品最终解释权归Gate所有。
如需进一步帮助,请访问Gate官方支持页面或联系我们的客户服务团队。