Gate.io 现货网格交易入门指南(基础版)

现货网格是一种专为震荡市场设计的交易策略,通过设定价格区间和网格数量,将资金分为若干部分,在市场波动中实现高抛低吸,从而获取利润,优点在于适合震荡行情、无需盯盘、学习成本低且手续费低,适合新手;然而,其缺点是只能做多,容易在下行行情中被套,资金利用率相对较低,适合的交易对包括主流价值币如BTC和ETH,使用时可通过AI智能推荐或手动配置参数,设置止损和止盈等选项,以实现自动化交易,尽管现货网格并非全能工具,但在适当的市场条件下,能够有效抓住盈利机会,最终实现资产增值。


  1. 什么是现货网格?
  2. 现货网格交易的优缺点?
  3. 哪些交易对适合现货网格交易?
  4. 如何使用现货网格?
  5. 现货网格FAQ
  6. 总结

1.什么是现货网格?

现货网格是网格交易的一个分支,因此它具备网格交易的特点,但是现货网格只能做多。现货网格也是一种适合震荡行情的高抛低吸的交易策略,通过设定价格区间、网格数量等方式,有计划的把资金分为若干等分,下跌时分档买入,上涨时分档卖出。在震荡市场里不断高抛低吸套取网格利润。

2.现货网格的优缺点?

优点:
A、现货网格交易具有低位加仓,高位减仓的特点,其天然适合于震荡市场。而币市是一个牛短熊长,有数据表明币市70%的行情都处于震荡区间,这为我们做网格交易提供了天然的交易环境和土壤。
B、无需盯盘,24小时自动套利机器。
C、对新手友好,学习成本极低,可使用AI推荐网格、也可复制其他信号者的策略。
D、超过1000个可供选择的交易对,机会众多。
E、手续费低,可使用点卡或GT抵扣,有些交易对甚至零手续费。
缺点:
F、 但是现货网格也不是全能的,因为它只能做多,因此在单边下行的行情容易被套、资金的利用率比较低、容易跑出区间等。

3.哪些币种适合现货网格?

如果您是交易新人,建议您优选共识好、流动性高的主流价值币, 如BTC_USDT,ETH_USDT,可以参考CMC排名前100的数字资产在Gate平台的交易情况。如果您对现货网格交易有较深入的理解,可以尝试其他高波动的交易对来赚取高额利润。

4.如何使用现货网格?

Web端:交易机器人 - 机器人广场 - 创建新机器人 - 选择现货网格 - 创建机器人 - 编辑机器人名称 - 选择交易对 - AI智能推荐/手动配置网格 - 创建
1

APP端:点击左上角头像 - 交易 - 交易机器人 - 机器人广场 - 现货网格 - 选择交易对 - 免费复制 - 参数配置 - 创建机器人

alt
alt
alt

现货网格名词解释:
AI智能网格:AI 智能网格是根据近 7 天的历史数据,进行回测,自动算出收益率最高的网格参数: 上限价格、下限价格、网格数量,用户只需选择投资金额比例(选择的投资额必须大于等于最低投资额)。
填充AI数据:自动获取AI智能网格数据并填充。
清除数据快捷键:若用户有多项数据需要清除,可使用该快捷键,无需一个个手动删除,点击后,重新设置参数即可。
下限价格:最低买入价格,市场最新价低于该价格不进行买入,同时下限价格不能执行卖出。
上限价格:最高卖出价格,市场最新价高于该价格不进行卖出,同时上限价格不能执行买入。
网格数量:执行网格的数量,限制 2 到 1000。
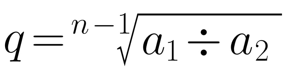
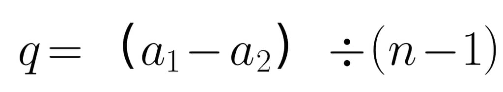
网格间距:假设网格间距为q,网格价格上限为a1,网格价格下限为a2,网格数量为n, 则等差网格间距q计算公式为:

等比网格实际浮动比例q计算公式为:

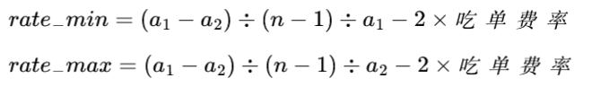
单格收益率
假设网格间距为q,网格价格上限为a1,网格价格下限为a2,网格数量为n,
等比单格收益率:


等差单格收益率:

单格基础买卖数量:每个网格买卖选择币种的数量
单格递增: 数量递增默认是关闭状态,在开启时,您可以选择按照数量或按照比例来增加每个网格的买卖数量,如图所示:

举例说明: 单格基础买卖数量=1,数量递增=2,代表第一个网格会买卖1个BTC,第二个网格会买卖1+2=3个BTC 第3个网格买卖1+2+2=5以此类推。

高级设置:以上是一些基本参数设置,是用户必填选项。为了页面美观,高级设置并未全部展现在页面中,需用户点击才会显示。高级设置中含有一些选填项,用户可根据自身需要进行填写。

高级设置参数解释:

策略触发价: 当市场最新价小于等于触发价格后,网格才会开始运行;触发价配置需小于最新价,且在网格区间的最低价和最高价之间。
止损价格:市场最新价小于等于该价格时触发止损,必须小于下限价格。
止盈价格:市场最新价大于等于该价格时触发止盈,必须大于上限价格。
结算选项(选填):终止时卖出所持币种:开启时,当策略结束后将以市价卖出所持币种兑换成USDT。
囤币模式:开启时,该策略网格收益将实时兑换成所选币种。现货网格囤币模式是指币本位下,长期看好币的升值空间,在网格交易时把一买一卖产生的套利利润,按市场最新价买入币,这样把利润换算成币,长期持有币。
社区属性:包括分成比例、机器人名称、机器人描述,可以选择是否隐藏机器人和隐藏交易记录。

5.现货网格FAQ

5.1 现货网格交易可以止损吗?
可以。您可以在参数中设置止损价,及时止损,维护您的资产安全。当交易标的价格低于止损价时,量化产品将为您自动卖出交易标的。
5.2 手续费支出可能会超过网格利润吗?
不会。现货网格保证了只有在网格利润大于手续费的情况下才会开单,不会出现手续费超过网格利润的情况。
5.3 现货网格的“AI智能网格”和“手动配置网格”该如何选择?
如果您是新手,建议您使用“AI 智能网格”。AI 智能网格是根据近 7 天的历史数据,进行回测,自动算出收益率最高的网格参数: 上限价格、下限价格、网格数量,用户只需选择投资金额比例(选择的投资额必须大于等于最低投资额)。如果您是有经验者,您可以使用“手动配置网格”,根据自己的需求来配置参数。

6.结语

现货网格是震荡行情下抓取利润的利器,虽然说现货网格不是万能的,比如它只能做多的特点,决定了它在单边下行行情中容易被套,但是总的来说利大于弊。这个世界上没有完美的工具,任何工具都有它发挥最大价值的地方,只有不断学习,了解工具本身、熟悉市场、认识自身的风险偏好,才能找到最适合当下行情的赚钱方法。

本产品最终解释权归Gate所有。