作者:Yiming Ma, Yao Zeng, and Anthony Lee Zhang,The University of Chicago
编译:钱家彦
稳定币是一种加密资产,旨在与美元挂钩,但由流动性并不完美的美元资产支持。我们发现,稳定币存在集中套利现象:最大的发行方泰达币(Tether)平均每月仅允许6个机构将稳定币赎回为现金。本文认为,发行方选择集中套利反映了一种权衡:高效的套利有助于提高稳定币在二级市场的价格稳定性,但会因降低投资者抛售稳定币的价格影响而放大挤兑风险。本文研究结果表明,旨在提高稳定币价格稳定性的政策可能会产生增加稳定币挤兑风险的意外后果。中国人民大学金融科技研究所(微信ID:ruc_fintech)对研究核心部分进行了编译。
一、引言
法币支持的稳定币是区块链资产,其价值宣称稳定在1美元。这种价格稳定性是通过承诺以至少1美元的美元计价资产(如银行存款、国债、公司债券和贷款)来支持每一枚稳定币代币实现的。六大美元支持的稳定币的市值已从2020年初的56亿美元增长到2022年初的超过1300亿美元。稳定币有可能成为一种广泛接受的支付手段,与法币和银行存款竞争,这引发了关于如何减轻对金融稳定的潜在风险以及最优监管框架应是什么的积极讨论。
理想的稳定币始终以稳定的1美元进行交易,且不会出现恐慌性挤兑。然而,稳定币持有非流动性资产,却承诺1美元的固定赎回价值。与货币市场基金(MMF)或商业银行不同,这种1美元的赎回仅限于特定的机构套利者。绝大多数投资者只能在二级市场交易所交易稳定币,这与投资者在二级市场交易ETF份额类似。这些投资者按照二级市场价格进行交易,该价格经常因市场的供需压力而在1美元上下波动。由于稳定币价格是在均衡状态下确定的,那么稳定币投资者何时以及为何会想要挤兑呢? 稳定币的价格偏差与其挤兑风险有何关联?
本文通过构建一个稳定币市场结构的框架来回答这些问题,展示发行方、套利者和客户如何相互作用,以确定稳定币价格的稳定性和恐慌性挤兑的可能性。本文研究结果为稳定币的最优监管提供了重要见解。这些见解尤为相关,因为不同司法管辖区最近提出了不同的稳定币监管方案,且这些方案并不总是相互一致。
首先,一些提案要求稳定币发行人向所有投资者提供无限制的直接赎回,这实际上消除了当前的两层市场结构。此类政策确实会通过更具竞争力的套利促进价格稳定。然而,在稳定币被允许继续进行流动性转换的情况下,我们的模型表明,更高效的套利也会放大恐慌性挤兑的风险。相比之下,对套利者征收赎回费用会通过限制套利来降低挤兑风险,但会以牺牲价格稳定为代价。
其次,许多政策提案对稳定币发行人储备资产的安全性和流动性施加了限制。我们的研究结果表明,储备资产政策应与管理赎回的政策相协调,因为这些因素共同决定了价格稳定和挤兑风险这两个结果。
第三,允许支付股息进一步提高了稳定币的价格稳定性,并可能降低挤兑风险。综上所述,虽然价格稳定和低挤兑风险都是稳定币的理想特征,但它们本质上是不同的,并且对政策干预的反应也不同。
二、稳定币详述
稳定币是区块链资产,其价值宣称稳定在1美元。区块链资产可以实现自我托管:用户可以使用诸如MetaMask之类的加密钱包软件直接持有、发送和接收稳定币。这些稳定币不存放在任何受信任的中介机构中:相反,“私钥”(一种通常仅保存在用户硬件设备上的长数字代码)被用来向区块链网络证明用户拥有其稳定币,并指示网络采取诸如将稳定币转移到其他钱包等行动。其他人无法访问个人的私钥,因此他们无法从个人钱包中取走资金。
与比特币等其他区块链资产相比,稳定币的显著特征是相对价格稳定。最大的稳定币发行方试图通过承诺以至少1美元的链下美元资产支持每一枚稳定币代币来实现价格稳定。这些法币支持的稳定币在过去几年中经历了快速扩张。在两年内,六大法币偏向型稳定币的总资产规模从2020年初的56亿美元增长到2022年初超过1300亿美元(图3)。最大的两种稳定币是泰达币(USDT)和Circle美元硬币(USDC),在2022年1月,它们的总市值达到764亿美元,占总市场规模的50%以上。币安美元(BUSD)、Paxos(PUSD)、TrueUSD(TUSD)和Gemini美元(GUSD)的规模则小得多。
在本节的其余部分,本文概述稳定币的用途和稳定币市场结构。

2.1 稳定币的用途
稳定币是一种成本相当低的交易和持有美元资产的方式。如果A国的汇款人向B国的收款人汇款,她可以在加密货币交易所用A国的法定货币购买稳定币,将这些稳定币提取到自己的加密货币钱包,然后发送到B国收款人的钱包。收款人随后可以将这些资金存入本国的加密货币交易所,将稳定币兑换成法定货币,然后提取法定货币。将稳定币从一个加密货币钱包发送到另一个加密货币钱包相对快速且成本较低。截至2023年1月,在以太坊区块链上发送稳定币的交易在一分钟内即可完成,每笔交易成本约为1美元,与发送的稳定币数量无关。稳定币还可以用作价值储存手段; 它们可以免费无限期地存放在加密钱包中。
因此,虽然在发达国家,稳定币的使用成本高于运作良好的银行服务,但在传统金融基础设施运作不佳的情况下,它们具有竞争力。例如,在交易必须跨越国界、资本管制和金融抑制普遍存在、通货膨胀率高或对金融中介机构信任度低的环境中,稳定币正得到广泛应用。
稳定币还用于与其他区块链智能合约进行交易。例如,市场参与者可以使用稳定币代币,通过Uniswap等自动化做市商协议购买其他区块链代币,如ETH、MKR或UNI。市场参与者还可以在Aave和Maker等借贷协议上借出稳定币代币,从而获得正利率,也可以将这些资产用作抵押品来借入其他资产。从某种程度上说,稳定币为区块链生态系统提供了安全的价值储存手段和交换媒介。
2.2 市场结构
稳定币代币在一级市场以美元现金的形式被创建(“铸造”)或赎回(“销毁”),如图4左侧所示。要创建稳定币代币,套利者向发行方发送1美元,然后发行方将一个稳定币代币发送到市场参与者的加密钱包中。类似地,要赎回稳定币代币,市场参与者每向发行方的加密钱包发送一个稳定币代币,发行方就会通过银行转账等方式向市场参与者的银行账户发送1美元。稳定币的一级市场类似于传统金融体系中的货币市场基金。

大多数市场参与者无法成为套利者来赎回和创建稳定币代币,而且稳定币发行方在市场参与者进入一级市场的难易程度和成本方面存在差异。据市场参与者称,USDC允许一般企业注册成为套利者,而USDT则需要漫长的尽职调查过程,并对套利者的注册地加以限制。此外,USDT规定最低交易规模为10万美元,每次赎回收取0.1%和1000美元中的较大值作为费用。
大多数市场参与者在二级市场上将现有的稳定币兑换成法定货币。加密货币交易所允许投资者存入美元,然后与其他市场参与者进行美元与稳定币的交易。因此,二级市场上稳定币代币的价格由供求关系决定。当稳定币抛售激增时,二级市场价格下跌,但不会直接导致储备资产清算。通过这种方式,二级市场上稳定币的买卖类似于竞争易所中ETF份额的交易。
然而,二级市场的抛售压力可能会通过套利者蔓延到一级市场。当二级市场价格跌破1美元时,套利者可以通过在二级市场购买稳定币代币,并在一级市场与稳定币发行方以1:1的比例兑换1美元来获利。通过这种套利,一级市场稳定币1美元的赎回价值会将二级市场稳定币的交易价格拉向1美元。与此同时,这一套利过程还意味着,当稳定币发行方清算储备以满足套利者的现金赎回时,二级市场投资者的抛售压力最终会引发储备资产的出售。如果非流动性储备资产被折价出售,这些甩卖的成本可能会特别高。
三、数据
在本节中,我们将解释我们的主要数据来源。
一级市场数据:
本文分析中使用的核心数据集是以太坊、雪崩和波场区块链上六种最大的法币支持稳定币(USDT、USDC、USDP、TUSD和GUSD)的每次稳定币创建和赎回事件的数据。我们从每个区块链的“链浏览器”网站获取这些数据,这些网站将交易级区块链数据处理成可用格式。本文使用Etherscan处理以太坊数据,Snowtrace处理雪崩数据,Tronscan处理波场数据。通过数据提取过程,可以看到每次稳定币创建和赎回事件的精确时间戳、赎回或创建的稳定币数量,以及参与稳定币创建和赎回的实体的钱包地址。区块链只记录钱包地址,同一机构可能有多个钱包地址。在数据采集过程中,本文将Etherscan标签明确表明属于同一机构的钱包合并。然而,这个过程可能并不详尽,因此本文所计算的套利集中度应被视为真实套利集中度的下限。
二级市场数据:
对于每种稳定币,本文从包括币安(Binance)、比特芬尼(Bitfinex)、比特邮票(Bitstamp)、比特瑞克斯(Bittrex)、双子星(Gemini)、科瑞肯(Kraken)、Coinbase、Alterdice、Bequant和Cexio在内的几家大型交易所提取直接美元对稳定币交易的每小时收盘价。主要交易所之间稳定币价格的差异通常可以忽略不计,因此价格序列不会受到我们对不同交易所赋予的权重的实质性影响。本文对二级市场价格进行1%水平的缩尾处理。
四、稳定币的其他事实
在本节中,本文将介绍一组关于稳定币的新事实,以为模型和校准提供依据。
4.1 二级市场价格
事实1:稳定币在二级市场的交易价格通常会偏离1美元。
图5展示了不同稳定币在二级市场上随时间的交易价格。本文观察到,二级市场价格很少固定在1美元。相反,在稳定币样本中,稳定币27.2%至41.6%的时间以折价交易,57.3%至72.8%的时间以溢价交易(见表1a)。这些价格偏差的程度因稳定币而异。虽然USDT的平均折价为54个基点,但USDC的平均折价仅为1个基点。BUSD、TUSD和USDP的平均折价也低于USDT,而GUSD的平均折价最高。中位数折价的幅度通常小于平均折价,但横截面的差异仍然相似。例如,USDT的中位数折价为11个基点,而USDC的中位数折价小于1个基点。当考虑一个共同的样本期时,幅度也会减小。
从2020年1月开始,当时所有六种稳定币都有交易,但各币种之间的差异仍然存在,USDT的平均折价幅度大于USDC(见表1b)。平均溢价和中位数溢价在横截面中也显示出显著差异。


4.2 一级市场集中度
事实2:稳定币在一级市场的赎回和创造由一小部分套利者执行,其集中程度因稳定币而异。
表2展示了以太坊区块链上不同稳定币的月度一级市场赎回和创建活动的特征。平均每月,USDT只有6名套利者参与赎回,而USDC有521名。套利者的市场份额集中度普遍较高,但仍因稳定币而异。USDT最大的套利者完成了所有赎回活动的66%,而USDC最大的套利者完成了45%。相比之下,大多数其他稳定币在套利者数量和套利者集中度方面介于USDT和USDC之间。在交易量方面,平均每月USDT的赎回量为5.77亿美元,而USDC为29.76亿美元。相比之下,USDT的未偿代币总量是USDC的1.5至2倍。因此,USDC套利者数量较多且集中度较低,也与相对于总资产规模而言较高的赎回量相关。创建量较大,参与创建的套利者相对较多,但不同稳定币之间的趋势和套利集中度仍然相似。

4.3 二级市场价格与一级市场集中度
事实3:套利者群体更为集中的稳定币在二级市场上会出现更为明显的价格偏离。
接下来分析价格偏差与套利者集中度之间的关系。对于给定的稳定币,通过对给定月份内每日价格相对于1的偏差绝对值求平均值来计算月度二级市场价格偏差,其中包括高于和低于1的偏差。然后我们对各月数据求平均值,以得到该稳定币的平均价格偏差。同样,统计参与赎回和/或铸造的独特套利者数量,并计算每个月最大的五个套利者的市场份额以及每种稳定币随时间的平均值。
结果如图6a所示。一个明显的负趋势出现了:与套利者较多的稳定币(如USDC)相比,套利者较少的稳定币(如USDT)在二级市场价格上相对于1的平均偏差更高。另一种衡量套利者集中度的方法是通过最大套利者的市场份额。在图6b中,我们用前五大套利者的市场份额重复了分析。这种关系是正相关的。前五大套利者在总赎回和铸造中始终占据较大份额的稳定币,其平均价格偏差高于套利者集中度较低的其他稳定币。换句话说,似乎更高的套利竞争与二级市场价格错位的减少有关。

4.4 流动性转换
事实4:稳定币通过投资非流动资产进行不同程度的流动性转换。
稳定币发行方持有不同程度非流动性的以美元计价的资产作为储备。表3显示了报告日USDT和USDC储备资产的构成。总体而言,USDT和USDC的储备资产都并非完全具有流动性,其中USDT的储备资产非流动性更强。

五、理论框架
5.1稳定币挤兑与套利的中心化
基准经济模型基于戴蒙德和迪布维格(1983)的研究构建,有三个时间点,t = 1、2、3,且不存在时间贴现。本文在图1中提供了一个时间线来说明该经济模型:

有两组风险中性参与者:
1)由i索引的稳定币投资者竞争群体,以及
2)n个稳定币套利者组成的群体。
有两类资产:
1)美元,它无风险、流动性强,用作计价单位;
2)一种非流动性且可能具有生产性的储备资产。
投资者共同持有在t = 1时最初由储备资产支持的稳定币。储备资产的初始价值被标准化为1美元。在t = 2和t = 3时,投资者需决定是在t = 2时提前清算其稳定币(这可能引发挤兑),还是持有至t = 3到期以获取长期收益(我们将在下文详述)。与银行储户不同,稳定币投资者无法直接从发行人处赎回其持有的稳定币。相反,他们会在t = 2时,按照杰克林(1987年)以及法里、戈洛索夫和齐文斯基(2009年)提出的机制,在二级市场将稳定币出售给套利者,然后由套利者从发行人处赎回现金。与这些模型一样,投资者通过独立提交市价订单来出售稳定币。这一假设与实证证据相符,该证据表明散户投资者更倾向于使用市价订单,尤其是在价差较窄时(凯利和泰特洛克,2013年),稳定币的情况便是如此。本文用λ表示以市场价格p2出售稳定币的投资者比例。
套利者在考虑他们预期能够从发行方赎回的金额后,在双重拍卖中进行竞争性投标,以确定投资者出售λ稳定币的价格p2。在基准模型中,假设套利者不能持有净库存,因此他们在t = 2时在一级市场上的净赎回量必须与他们在二级市场上的购买量相等。在附录C.1中,我们表明这一假设与绝大多数套利者持有的稳定币数量非常少这一实证观察结果是一致的。套利者面临二次库存成本:套利者j承担成本,用于从二级市场向一级市场套利zj单位的稳定币,其中χ可以被视为衡量套利者的资产负债表容量:当χ较高时,库存成本较低。
在决定是否提前清算其稳定币时,投资者在t = 2时收到关于t = 3时经济基本面的私人信息。遵循全局博弈文献,每个投资者i在t = 2时获得一个私人信号θi = θ + εi,其中噪声项εi在[−ε,ε]上独立且均匀分布。本文关注任意小的噪声,即ε→ 0,但模型结果在极限情况之外也成立。
基本面θ反映了总体风险水平,并决定了稳定币在t = 3时的长期价值。以1 - π(θ)的概率,经济进入不良状态:储备资产失败,投资者既不会获得任何名义回报,也不会从持有由无价值资产支持的稳定币中获得任何长期收益。以π(θ)的概率,经济进入良好状态:储备资产产生R(ϕ) ≥ 1美元的正值,归发行人所有。稳定币继续运营,剩余的1 - λ投资者每枚稳定币获得长期收益η > 0,每单位剩余储备资产获得初始价值1。这种长期收益η可以由投资者借出稳定币的回报来解释。
根据逆向归纳法,首先考虑 p2,即投资者提前清算稳定币时所获得的价格。在正文中,我们推导了由套利者竞争性出价产生的逆需求函数。如果套利者进行策略性出价,本文模型类似于克莱姆佩雷尔和迈耶(1989)的设定,该设定存在多个均衡。然而,在选择最接近标准线性解的均衡出价曲线的均衡选择规则下,本文关于套利能力影响稳定币价格的核心经济见解保持不变。
本文通过令价格等于边际成本来推导逆需求函数。
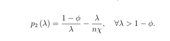
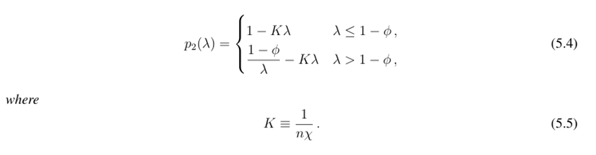
假设 λ ≤ 1−ϕ,这意味着发行人具有偿债能力,那么在二级市场以价格 p2 购买 zj 单位并在一级市场赎回的套利者将获得:

在任何对称均衡中,每个套利者吸收的总库存为z∗ j = λ n。如果发行人将价格视为给定的,为了使z∗ j成为吸收的最优数量,价格必须等于在z∗ j处吸收额外稳定币数量的边际价值。也就是说,对(5.1)关于zj求导,令其等于0,然后求解p2得到:

用文字表述,价格就是边际赎回价值1减去边际库存成本z∗ j χ。在对称均衡中代入z∗ j = λ n得到

在资不抵债的情况下,λ > 1 - ϕ,稳定币的每一单位只能按其清算价值(1 - ϕ)/λ赎回。由于投资者提交的是市价订单,赎回价值不取决于套利者的数量选择。因此,套利者的利润被修正为

同样,在对称均衡中,价格必须等于套利者吸收额外数量的边际价值。对 (5.3) 关于 zj 求导,令其等于 0,并代入 zj∗ = λn,得到

与(5.2)的唯一区别在于,赎回价值被修改为 (1−ϕ)/ λ。本文将这些结果总结在以下引理中。
引理1.稳定币在t = 2时的二级市场价格由下式给出:

引理1表明,对于任何总赎回量λ > 0,p2随K的增加而减小,随χ和n的增加而增大。直观地说,当套利者的资本状况更好(χ更高)且数量更多(n更高)时,二级市场价格受投资者抛售的影响较小。我们将K称为套利能力,它在分析中起着核心作用,因为它衡量了发行人保持偿付能力时二级市场需求的斜率。套利者的出价为稳定币创造了一条向下倾斜的需求曲线,当n或χ增加时,斜率变得更陡,从而降低了稳定币抛售的价格影响。
还需注意,p2在任何地方都严格随λ递减:投资者抛售得越多,价格就越低。这一点很重要,因为它在投资者的抛售决策中产生了策略替代性:当许多其他投资者都在抛售时,某个投资者预期抛售所得会减少,从而抑制其抛售行为。这种力量与经典银行挤兑模型(如Diamond和Dybvig,1983)中的策略互补性形成对比,在经典银行挤兑模型中,储户取款可获得固定的存款价值。
接下来,本文研究了t=3时的情况。
全局博弈框架能够针对任何基本参数值求解唯一均衡。理论上,可以得到:
命题1 :存在一个唯一的阈值均衡,在该均衡中,如果投资者获得的信号低于阈值θ∗,则出售稳定币,否则不出售。
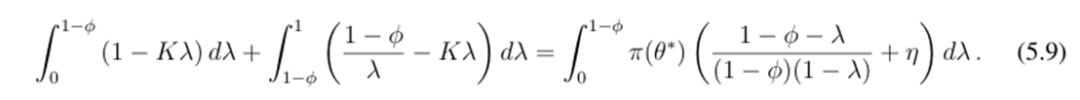
命题1表明,具有投资者私人且有噪声信号的模型存在唯一的阈值均衡。投资者的清算决策由其信号唯一确定:当且仅当其信号低于某个阈值时,才会在t = 2时出售稳定币。换句话说,当信号处于阈值时,在出售和持有之间无差异。鉴于存在唯一的挤兑阈值,我们可以证明,无差异条件意味着以下拉普拉斯方程:

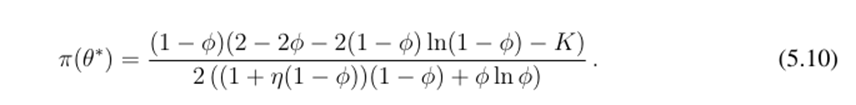
求解拉普拉斯方程可得出运行阈值的解析解,并呈现出关于稳定币挤兑风险的直观比较静态分析:
命题2:运行阈值由下式给出:

i). 运行阈值,即运行风险,随K的增大而减小(即随n的增大而增大,随χ的增大而增大)。
ii). 挤兑阈值,即挤兑风险,当且仅当在 ϕ 中增加时

其中g(ϕ)在ϕ上连续且严格递减,并且满足limϕ→0 g(ϕ) > 0。
一个核心理论结果是命题2的第一部分,它表明更有效的套利,即K值更小,会加剧挤兑风险。
命题2的第二部分表明,当g(ϕ) > K时,稳定币流动性转换水平越高,挤兑风险就越高。对于给定的K,当ϕ足够小时,这一条件成立。直观地说,当稳定币持有更多非流动性储备资产时,投资者之间的先发优势会增加,因为选择不出售的投资者将不得不非自愿地承担由出售投资者引发的更高清算成本。
5.2 价格稳定与最优稳定币设计
在分析了稳定币的运行风险及其与套利集中的关系后,我们通过纳入t = 1时稳定币的价格稳定性以及t = 0时交易前博弈中发行人的最优设计选择,对基准模型进行了扩展。
具体推理过程详见原文, 关于稳定币发行人对套利者集中度的最优选择,得出以下结果:
命题3:假设G是线性的,且ϕ足够小使得(5.11)式成立,那么发行人对K的最优选择随ϕ递减:如果储备资产的流动性更差,那么发行人会最优地选择一个更集中的套利部门。
命题3源于价格稳定与金融稳定之间的权衡。稳定币发行方选择套利集中度K,以权衡降低挤兑风险带来的收益与降低价格稳定性产生的成本。当资产非流动性ϕ较高时,挤兑风险增加。此时,发行方应更愿意牺牲价格稳定性来限制挤兑风险,从而导致K的最优值更高。
六、政策影响
多个司法管辖区对稳定币的最优监管给予了更多关注。监管机构和市场参与者希望稳定币既具有低挤兑风险,又能保持价格稳定。本文框架强调,这两个理想目标彼此不同,由不同的经济力量驱动。特别是,我们强调了价格稳定和金融稳定之间的权衡,并表明一些政策可能以牺牲一个目标为代价来实现另一个目标。在本节中,本文运用模型预测来阐明拟议的稳定币赎回、储备和利息支付监管对价格稳定和金融稳定意味着什么。
经过一系列分析,本文发现股息发行可能还有其他影响。例如,股息发行可能会加剧稳定币发行商之间的价格竞争,这可能会鼓励新进入者并提高配置效率。根据美国证券法,发放股息的稳定币也可能被归类为证券,并面临监管风险。我们将对这些和其他因素的分析留待未来研究。
七、结论
本文分析了稳定币挤兑风险与价格稳定之间的权衡。从宏观层面来看,稳定币挤兑源于流动性转换。稳定币发行方持有非流动性资产,同时向套利者提供在一级市场以固定1美元赎回稳定币的选择权。这种流动性错配从一级市场蔓延开来,即使有交易所交易,也会引发二级市场投资者挤兑的可能性。
重要的是,稳定币挤兑风险受套利者部门的市场结构调节,该部门在二级市场和一级市场之间起到 “防火墙” 的作用。当套利者部门效率更高时,二级市场的冲击会更有效地传导至一级市场。稳定币的价格稳定性因此得到改善,但卖家的先发优势也更高,从而增加了挤兑风险。如果套利者部门效率较低,二级市场的冲击传导效果就会较差。价格稳定性会受到影响,但挤兑风险会降低,因为二级市场中稳定币交易的价格影响会抑制市场参与者的恐慌性抛售。
本文研究结果具有重要的政策意义。尽管监管机构和市场参与者都希望稳定币既具有较低的挤兑风险,又能保持价格稳定,但这两个理想目标彼此不同,且由不同的经济力量驱动。特别是,允许无限制赎回会提高套利效率,这虽然有助于改善价格稳定性,但可能会以更高的挤兑风险为代价。在讨论稳定币是否应允许以股息形式向投资者分配收益时,也必须考虑股息发放对挤兑风险的抑制作用。总体而言,在设计监管措施时,同时考虑价格稳定性和挤兑风险,对于稳定币行业未来的良好运行和安全至关重要。